In a stretch of 4 decades, two remarkable trends emerged: the incidence of dementia declined in both the U.S. and Europe, while average physical brain size increased. Why?
Bigger Brains, Sharper Minds
Researchers, led by Charles DeCarli at University of California Davis Health, and Sudha Seshadri of the University of Texas Health Science Center, San Antonio, have uncovered a fascinating link between brain size and the cognitive health that protects us from dementia. Their study, published in the March 25 issue of JAMA Neurology, reveals that individuals born in the 1970s boast 15 percent more surface area in their cortices compared to those born in the 1930s.
Picture it: a brain with extra real estate. But what does this mean for our mental resilience?
The Cognitive Reserve Advantage
The expanded cortical surface area may hold the key to maintaining cognitive function as we age. Think of it as a cognitive reserve—a buffer against the decline often associated with dementia. While the exact mechanisms remain under investigation, the findings suggest that early-life experiences shape brain development.
What would cause brain size to increase? DeCarli attributes it to environmental factors. Specifically
- Childhood nutrition,
- Prenatal care, and
- Quality education.
The Brain’s 14.9% Growth Spurt

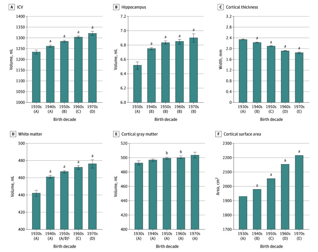
- Least-Squares Mean Association (Adjusting for Age and Sex) Between Decade of Birth and Magnetic Resonance Imaging Measures
- The parenthetical letters A, B, C, D, and E under each decade indicate significant group differences using a Tukey honestly significant differences post hoc comparison. ICV indicates intracranial volume.
- aP < .001 compared with 1930s.
- bP < .05 compared with 1930s.
- Courtesy of DeCarli et al., JAMA Neurology, 2024.
To delve deeper, DeCarli and his team analyzed structural MRI scans from a subset of 3,226 participants in the Framingham Heart Study. Born between 1925 and 1968, these individuals allowed researchers to measure critical brain parameters.
The results were striking. Recent generations exhibited larger brains, including specifically:
- More cortical gray matter,
- Expanded hippocampi,
- Increased intracranial volume, and
- Greater cerebral white matter.
Notably, their cortical surface area was a whopping 14.9 percent larger.
The Brain’s 40-Year Silent Revolution
Dementia rates have been on a downward spiral for the past 40 years. The brain’s transformation—more gray matter, larger hippocampi, and increased surface area—may hold the key. It’s like upgrading from a studio apartment to a penthouse suite. But wait, there’s a twist.
The Curious Case of Cortical Thickness – or Thinness?
Cortical thickness didn’t follow the same pattern — it was 21 percent thinner. So if it’s thinner, what accounts for the increased size?
Deeper gyri and sulci (those ridges and valleys on the brain’s surface) likely account for the increased surface area and white matter. These structural changes may facilitate more extensive neuron connections, potentially enhancing cognitive resilience.
More Discoveries Ahead
While the theory is compelling, rigorous testing lies ahead. Researchers must unravel the intricate dance between cortical thickness, gray matter, and cognitive health. As DeCarli puts it, “When the gyri deepen, neurons forge new pathways.” The empirical evidence awaits.
The Brain’s Environmental Symphony
What orchestrates this brain symphony? DeCarli points to environmental influences. Our changing world— nutrition, education, lifestyle — may sculpt our brains, offering hope in the fight against dementia.
As we unlock the brain’s secrets, we are inching closer to a future where dementia becomes a rarity.











I’ve always been behind in my intellectual thinking. Made horrible decisions in life and it’s left me an angry person who blames the world. I have MS and both husbands cheated on me.